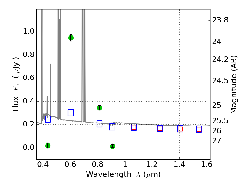
ABELL665 ACS+IR detection object #7456

Color images and BPZ results
Catalog: 7456.cat
Black segments are analyzed here.   Roll mouse over color images to view segments.
Best viewed in a wide browser window (1200 pixels or more).   Download SED & P(z) plots to view larger versions.
In P(z) plots: Yellow lines mark the cluster redshift z = 0.182,  

Object #7456   x,y = (1416, 1570)   RA, Dec = (08:31:15.312, 65:49:44.40) = (127.81380, 65.82900)   BPZ = 0.049 [0.036--0.087]   type = 11.00 (SB11_A_0_l)   chisq2 = 468.50   ODDS = 0.99   z_cluster = 0.182