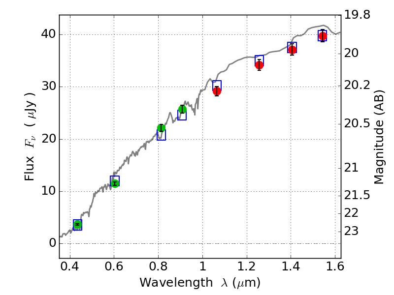
ABELL665 ACS+IR detection object #7430

Color images and BPZ results
Catalog: 7430.cat
Black segments are analyzed here.   Roll mouse over color images to view segments.
Best viewed in a wide browser window (1200 pixels or more).   Download SED & P(z) plots to view larger versions.
In P(z) plots: Yellow lines mark the cluster redshift z = 0.182,  

Object #7430   x,y = (3091, 1298)   RA, Dec = (08:30:58.968, 65:49:28.20) = (127.74570, 65.82450)   BPZ = 0.129 [0.069--0.166]   type = 4.20 (Ell4_A_0 - ES0_B10)   chisq2 = 0.14   ODDS = 0.92   z_cluster = 0.182