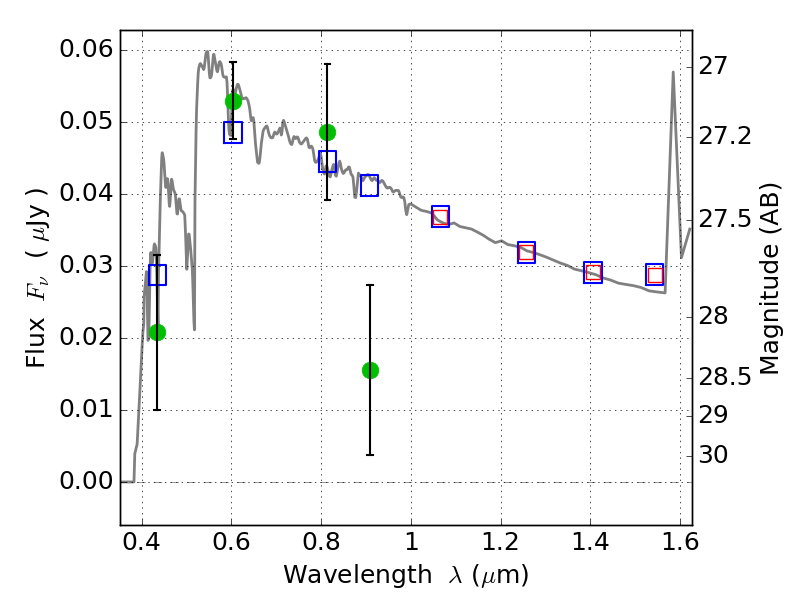
ABELL665 ACS+IR detection object #6474

Color images and BPZ results
Catalog: 6474.cat
Black segments are analyzed here.   Roll mouse over color images to view segments.
Best viewed in a wide browser window (1200 pixels or more).   Download SED & P(z) plots to view larger versions.
In P(z) plots: Yellow lines mark the cluster redshift z = 0.182,  

Object #6474   x,y = (1498, 1663)   RA, Dec = (08:31:14.520, 65:49:50.16) = (127.81050, 65.83060)   BPZ = 3.265 [0.113--3.638]   type = 11.00 (SB11_A_0_l)   chisq2 = 5.55   ODDS = 0.32   z_cluster = 0.182