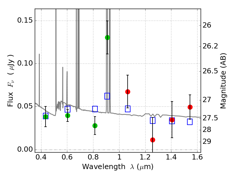
ABELL665 ACS+IR detection object #6433

Color images and BPZ results
Catalog: 6433.cat
Black segments are analyzed here.   Roll mouse over color images to view segments.
Best viewed in a wide browser window (1200 pixels or more).   Download SED & P(z) plots to view larger versions.
In P(z) plots: Yellow lines mark the cluster redshift z = 0.182,  

Object #6433   x,y = (4071, 1663)   RA, Dec = (08:30:49.368, 65:49:49.80) = (127.70570, 65.83050)   BPZ = 0.384 [0.273--3.058]   type = 11.00 (SB11_A_0_l)   chisq2 = 3.78   ODDS = 0.30   z_cluster = 0.182