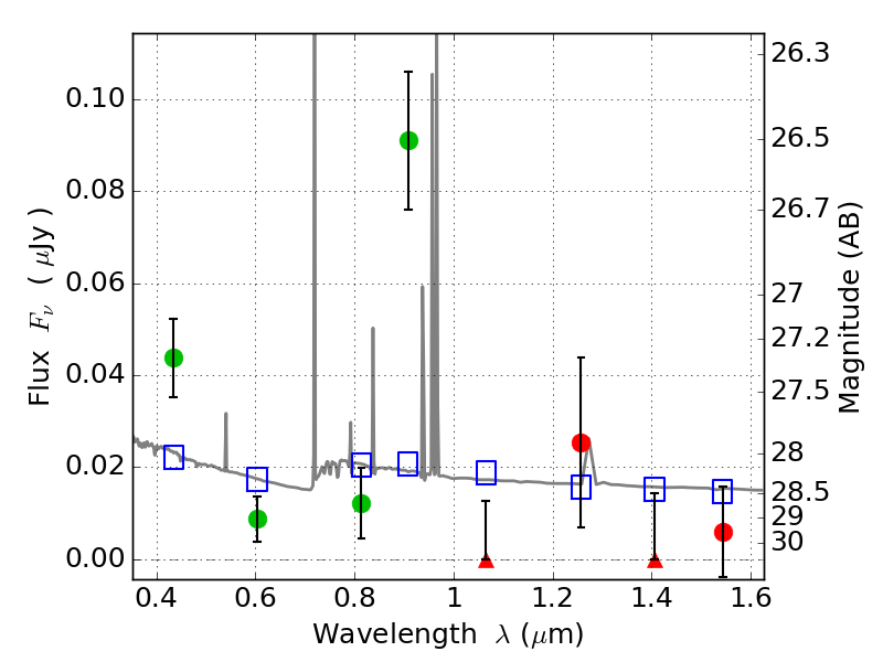
ABELL665 ACS+IR detection object #6217

Color images and BPZ results
Catalog: 6217.cat
Black segments are analyzed here.   Roll mouse over color images to view segments.
Best viewed in a wide browser window (1200 pixels or more).   Download SED & P(z) plots to view larger versions.
In P(z) plots: Yellow lines mark the cluster redshift z = 0.182,  

Object #6217   x,y = (3395, 1746)   RA, Dec = (08:30:55.992, 65:49:54.84) = (127.73330, 65.83190)   BPZ = 0.928 [0.273--2.679]   type = 11.00 (SB11_A_0_l)   chisq2 = 7.26   ODDS = 0.15   z_cluster = 0.182