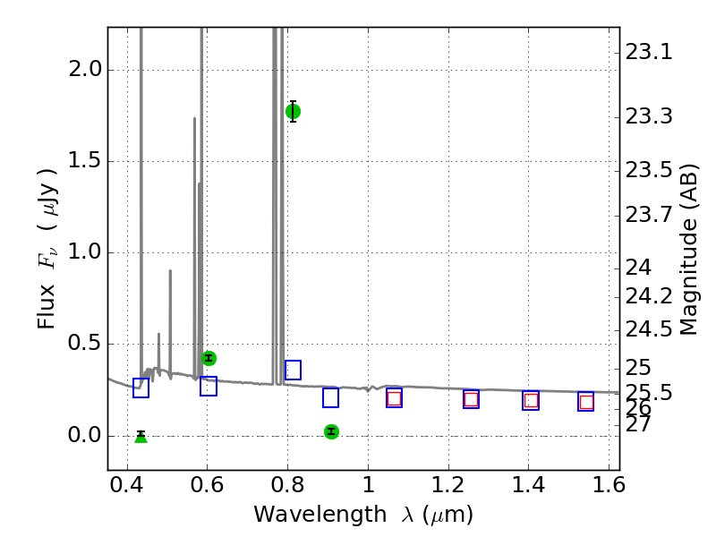
ABELL665 ACS+IR detection object #6207

Color images and BPZ results
Catalog: 6207.cat
Black segments are analyzed here.   Roll mouse over color images to view segments.
Best viewed in a wide browser window (1200 pixels or more).   Download SED & P(z) plots to view larger versions.
In P(z) plots: Yellow lines mark the cluster redshift z = 0.182,  

Object #6207   x,y = (1422, 1754)   RA, Dec = (08:31:15.264, 65:49:55.56) = (127.81360, 65.83210)   BPZ = 0.171 [0.143--0.198]   type = 11.00 (SB11_A_0_l)   chisq2 = 673.50   ODDS = 1.00   z_cluster = 0.182