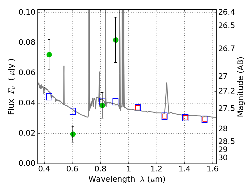
ABELL665 ACS+IR detection object #596

Color images and BPZ results
Catalog: 596.cat
Black segments are analyzed here.   Roll mouse over color images to view segments.
Best viewed in a wide browser window (1200 pixels or more).   Download SED & P(z) plots to view larger versions.
In P(z) plots: Yellow lines mark the cluster redshift z = 0.182,  

Object #596   x,y = (3353, 3797)   RA, Dec = (08:30:56.376, 65:51:57.96) = (127.73490, 65.86610)   BPZ = 0.927 [0.729--1.962]   type = 11.00 (SB11_A_0_l)   chisq2 = 20.97   ODDS = 0.26   z_cluster = 0.182