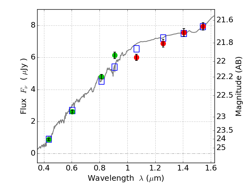
ABELL665 ACS+IR detection object #5323

Color images and BPZ results
Catalog: 5323.cat
Black segments are analyzed here.   Roll mouse over color images to view segments.
Best viewed in a wide browser window (1200 pixels or more).   Download SED & P(z) plots to view larger versions.
In P(z) plots: Yellow lines mark the cluster redshift z = 0.182,  

Object #5323   x,y = (4255, 1960)   RA, Dec = (08:30:47.568, 65:50:07.80) = (127.69820, 65.83550)   BPZ = 0.055 [0.025--0.419]   type = 2.00 (Ell6_A_0)   chisq2 = 0.65   ODDS = 0.52   z_cluster = 0.182