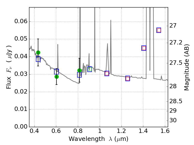
ABELL665 ACS+IR detection object #491

Color images and BPZ results
Catalog: 491.cat
Black segments are analyzed here.   Roll mouse over color images to view segments.
Best viewed in a wide browser window (1200 pixels or more).   Download SED & P(z) plots to view larger versions.
In P(z) plots: Yellow lines mark the cluster redshift z = 0.182,  

Object #491   x,y = (4333, 3835)   RA, Dec = (08:30:46.800, 65:52:00.12) = (127.69500, 65.86670)   BPZ = 1.197 [0.521--2.647]   type = 10.90 (SB11_A_0_l - SB3_B10)   chisq2 = 0.53   ODDS = 0.11   z_cluster = 0.182