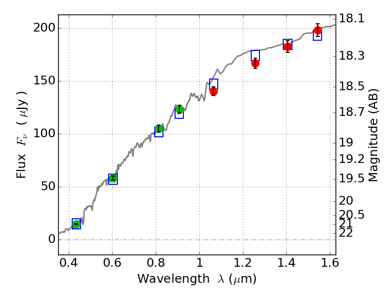
ABELL665 ACS+IR detection object #4668

Color images and BPZ results
Catalog: 4668.cat
Black segments are analyzed here.   Roll mouse over color images to view segments.
Best viewed in a wide browser window (1200 pixels or more).   Download SED & P(z) plots to view larger versions.
In P(z) plots: Yellow lines mark the cluster redshift z = 0.182,  

Object #4668   x,y = (3070, 2197)   RA, Dec = (08:30:59.160, 65:50:22.20) = (127.74650, 65.83950)   BPZ = 0.177 [0.140--0.200]   type = 4.10 (Ell4_A_0 - ES0_B10)   chisq2 = 0.16   ODDS = 0.99   z_cluster = 0.182