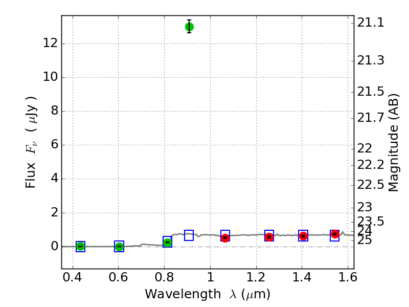
ABELL665 ACS+IR detection object #4067

Color images and BPZ results
Catalog: 4067.cat
Black segments are analyzed here.   Roll mouse over color images to view segments.
Best viewed in a wide browser window (1200 pixels or more).   Download SED & P(z) plots to view larger versions.
In P(z) plots: Yellow lines mark the cluster redshift z = 0.182,  

Object #4067   x,y = (2427, 2477)   RA, Dec = (08:31:05.448, 65:50:38.76) = (127.77270, 65.84410)   BPZ = 5.790 [5.594--5.900]   type = 9.80 (SB3_B10 - SB2_B10)   chisq2 = 206.10   ODDS = 0.99   z_cluster = 0.182