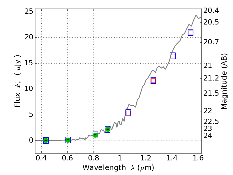
ABELL665 ACS+IR detection object #3987

Color images and BPZ results
Catalog: 3987.cat
Black segments are analyzed here.   Roll mouse over color images to view segments.
Best viewed in a wide browser window (1200 pixels or more).   Download SED & P(z) plots to view larger versions.
In P(z) plots: Yellow lines mark the cluster redshift z = 0.182,  

Object #3987   x,y = (1738, 2589)   RA, Dec = (08:31:12.168, 65:50:45.60) = (127.80070, 65.84600)   BPZ = 1.623 [1.113--1.845]   type = 1.00 (Ell7_A_0)   chisq2 = 0.00   ODDS = 0.39   z_cluster = 0.182