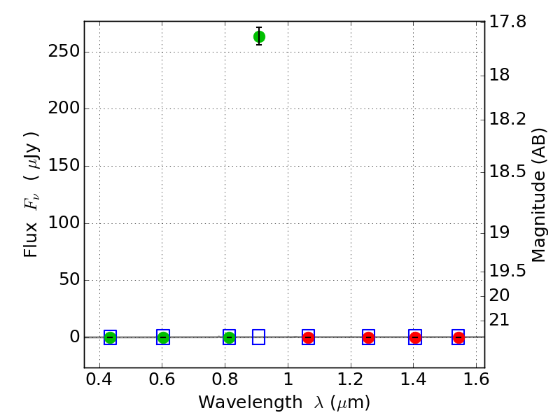
ABELL665 ACS+IR detection object #3643

Color images and BPZ results
Catalog: 3643.cat
Black segments are analyzed here.   Roll mouse over color images to view segments.
Best viewed in a wide browser window (1200 pixels or more).   Download SED & P(z) plots to view larger versions.
In P(z) plots: Yellow lines mark the cluster redshift z = 0.182,  

Object #3643   x,y = (2741, 2813)   RA, Dec = (08:31:02.376, 65:50:58.92) = (127.75990, 65.84970)   BPZ = 0.558 [0.146--3.726]   type = 9.00 (SB2_B10)   chisq2 = 230.00   ODDS = 0.22   z_cluster = 0.182