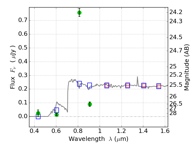
ABELL665 ACS+IR detection object #3166

Color images and BPZ results
Catalog: 3166.cat
Black segments are analyzed here.   Roll mouse over color images to view segments.
Best viewed in a wide browser window (1200 pixels or more).   Download SED & P(z) plots to view larger versions.
In P(z) plots: Yellow lines mark the cluster redshift z = 0.182,  

Object #3166   x,y = (1449, 2799)   RA, Dec = (08:31:15.000, 65:50:58.20) = (127.81250, 65.84950)   BPZ = 4.801 [4.729--4.866]   type = 10.00 (SB3_B10)   chisq2 = 278.80   ODDS = 1.00   z_cluster = 0.182