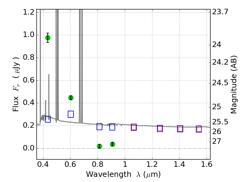
ABELL665 ACS+IR detection object #2707

Color images and BPZ results
Catalog: 2707.cat
Black segments are analyzed here.   Roll mouse over color images to view segments.
Best viewed in a wide browser window (1200 pixels or more).   Download SED & P(z) plots to view larger versions.
In P(z) plots: Yellow lines mark the cluster redshift z = 0.182,  

Object #2707   x,y = (1429, 3019)   RA, Dec = (08:31:15.192, 65:51:11.16) = (127.81330, 65.85310)   BPZ = 0.017 [0.010--0.037]   type = 11.00 (SB11_A_0_l)   chisq2 = 365.10   ODDS = 1.00   z_cluster = 0.182