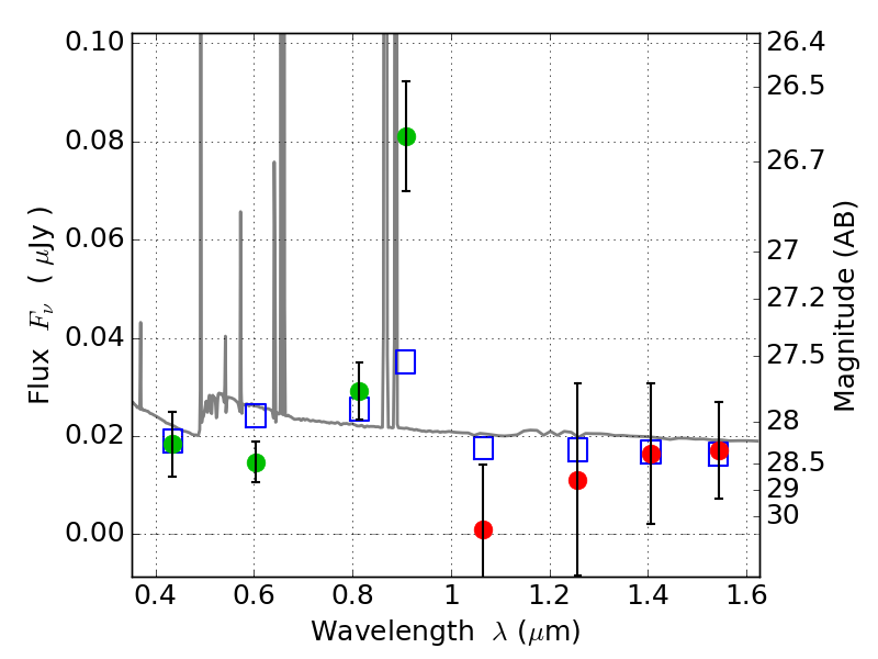
ABELL665 ACS+IR detection object #2453

Color images and BPZ results
Catalog: 2453.cat
Black segments are analyzed here.   Roll mouse over color images to view segments.
Best viewed in a wide browser window (1200 pixels or more).   Download SED & P(z) plots to view larger versions.
In P(z) plots: Yellow lines mark the cluster redshift z = 0.182,  

Object #2453   x,y = (2562, 3108)   RA, Dec = (08:31:04.128, 65:51:16.56) = (127.76720, 65.85460)   BPZ = 0.316 [0.263--2.237]   type = 11.00 (SB11_A_0_l)   chisq2 = 4.41   ODDS = 0.63   z_cluster = 0.182