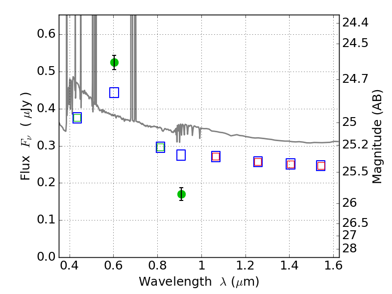
ABELL665 ACS+IR detection object #2355

Color images and BPZ results
Catalog: 2355.cat
Black segments are analyzed here.   Roll mouse over color images to view segments.
Best viewed in a wide browser window (1200 pixels or more).   Download SED & P(z) plots to view larger versions.
In P(z) plots: Yellow lines mark the cluster redshift z = 0.182,  

Object #2355   x,y = (1420, 3123)   RA, Dec = (08:31:15.288, 65:51:17.64) = (127.81370, 65.85490)   BPZ = 0.043 [0.012--0.059]   type = 11.00 (SB11_A_0_l)   chisq2 = 14.82   ODDS = 1.00   z_cluster = 0.182