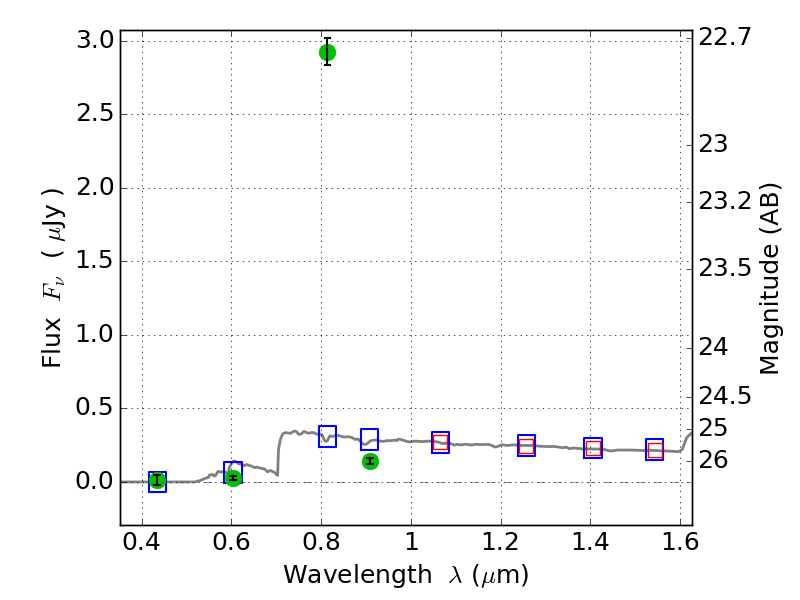
ABELL665 ACS+IR detection object #2273

Color images and BPZ results
Catalog: 2273.cat
Black segments are analyzed here.   Roll mouse over color images to view segments.
Best viewed in a wide browser window (1200 pixels or more).   Download SED & P(z) plots to view larger versions.
In P(z) plots: Yellow lines mark the cluster redshift z = 0.182,  

Object #2273   x,y = (1454, 3151)   RA, Dec = (08:31:14.952, 65:51:19.08) = (127.81230, 65.85530)   BPZ = 4.788 [4.702--4.871]   type = 10.70 (SB11_A_0_l - SB3_B10)   chisq2 = 844.80   ODDS = 1.00   z_cluster = 0.182