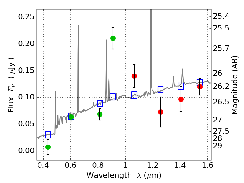
ABELL665 ACS+IR detection object #2108

Color images and BPZ results
Catalog: 2108.cat
Black segments are analyzed here.   Roll mouse over color images to view segments.
Best viewed in a wide browser window (1200 pixels or more).   Download SED & P(z) plots to view larger versions.
In P(z) plots: Yellow lines mark the cluster redshift z = 0.182,  

Object #2108   x,y = (3209, 3379)   RA, Dec = (08:30:57.792, 65:51:33.12) = (127.74080, 65.85920)   BPZ = 0.313 [0.274--4.167]   type = 8.30 (SB1_B10 - SB2_B10)   chisq2 = 6.82   ODDS = 0.17   z_cluster = 0.182