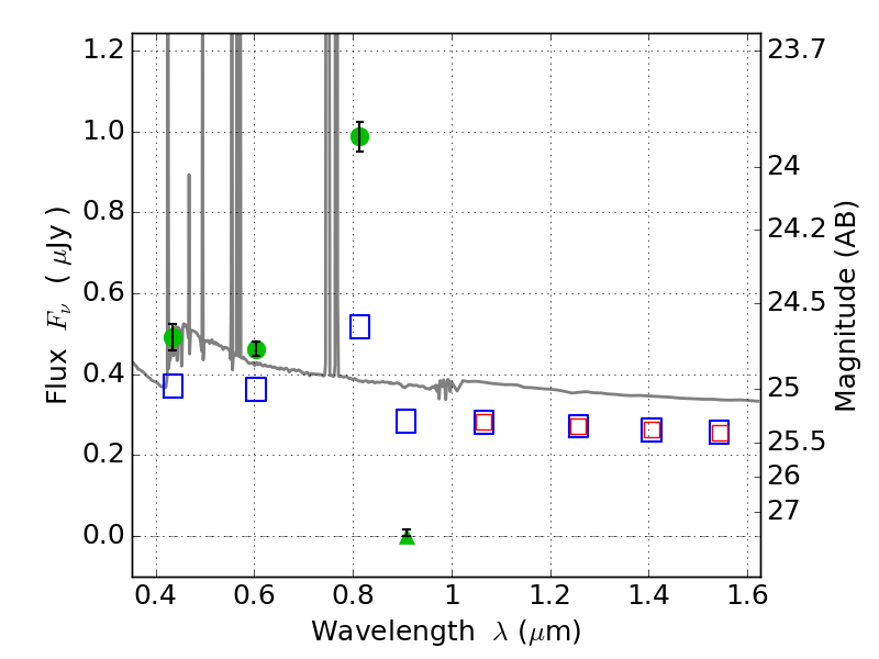
ABELL665 ACS+IR detection object #1983

Color images and BPZ results
Catalog: 1983.cat
Black segments are analyzed here.   Roll mouse over color images to view segments.
Best viewed in a wide browser window (1200 pixels or more).   Download SED & P(z) plots to view larger versions.
In P(z) plots: Yellow lines mark the cluster redshift z = 0.182,  

Object #1983   x,y = (1456, 3253)   RA, Dec = (08:31:14.928, 65:51:25.56) = (127.81220, 65.85710)   BPZ = 0.137 [0.100--0.155]   type = 11.00 (SB11_A_0_l)   chisq2 = 156.20   ODDS = 1.00   z_cluster = 0.182