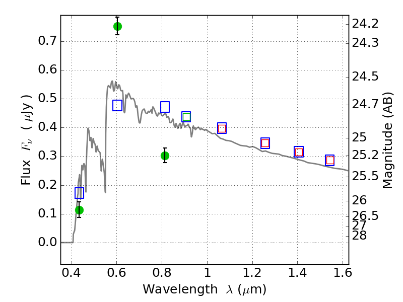
ABELL665 ACS+IR detection object #1284

Color images and BPZ results
Catalog: 1284.cat
Black segments are analyzed here.   Roll mouse over color images to view segments.
Best viewed in a wide browser window (1200 pixels or more).   Download SED & P(z) plots to view larger versions.
In P(z) plots: Yellow lines mark the cluster redshift z = 0.182,  

Object #1284   x,y = (4893, 3445)   RA, Dec = (08:30:41.328, 65:51:36.72) = (127.67220, 65.86020)   BPZ = 3.530 [3.402--3.621]   type = 11.00 (SB11_A_0_l)   chisq2 = 57.49   ODDS = 1.00   z_cluster = 0.182