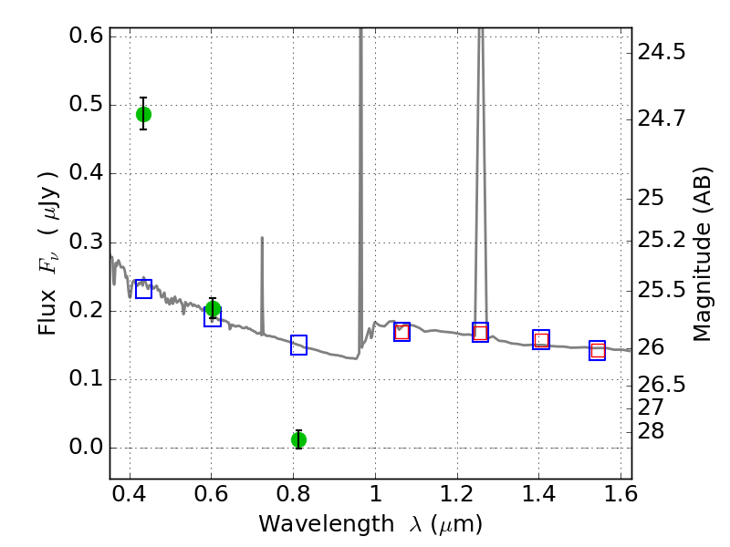
ABELL520 ACS+IR detection object #614

Color images and BPZ results
Catalog: 614.cat
Black segments are analyzed here.   Roll mouse over color images to view segments.
Best viewed in a wide browser window (1200 pixels or more).   Download SED & P(z) plots to view larger versions.
In P(z) plots: Yellow lines mark the cluster redshift z = 0.203,  

Object #614   x,y = (7753, 580)   RA, Dec = (04:53:54.456, 02:52:26.76) = (73.47690, 2.87410)   BPZ = 1.593 [1.489--2.023]   type = 11.00 (SB11_A_0_l)   chisq2 = 129.09   ODDS = 0.72   z_cluster = 0.203