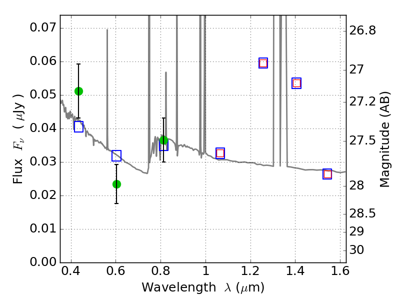
ABELL520 ACS+IR detection object #54

Color images and BPZ results
Catalog: 54.cat
Black segments are analyzed here.   Roll mouse over color images to view segments.
Best viewed in a wide browser window (1200 pixels or more).   Download SED & P(z) plots to view larger versions.
In P(z) plots: Yellow lines mark the cluster redshift z = 0.203,  

Object #54   x,y = (5889, 219)   RA, Dec = (04:54:01.920, 02:52:05.16) = (73.50800, 2.86810)   BPZ = 1.006 [0.598--2.500]   type = 11.00 (SB11_A_0_l)   chisq2 = 2.90   ODDS = 0.16   z_cluster = 0.203