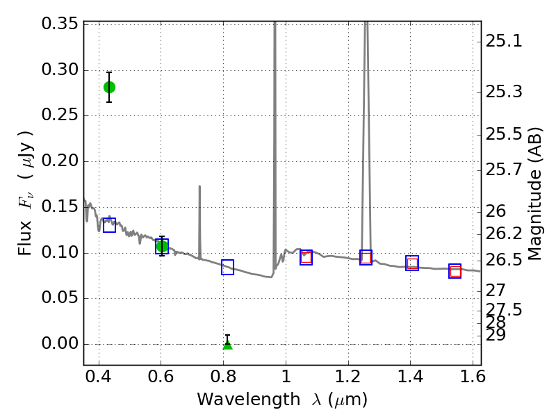
ABELL520 ACS+IR detection object #2672

Color images and BPZ results
Catalog: 2672.cat
Black segments are analyzed here.   Roll mouse over color images to view segments.
Best viewed in a wide browser window (1200 pixels or more).   Download SED & P(z) plots to view larger versions.
In P(z) plots: Yellow lines mark the cluster redshift z = 0.203,  

Object #2672   x,y = (906, 1667)   RA, Dec = (04:54:21.864, 02:53:32.28) = (73.59110, 2.89230)   BPZ = 1.593 [1.439--2.103]   type = 11.00 (SB11_A_0_l)   chisq2 = 104.98   ODDS = 0.56   z_cluster = 0.203