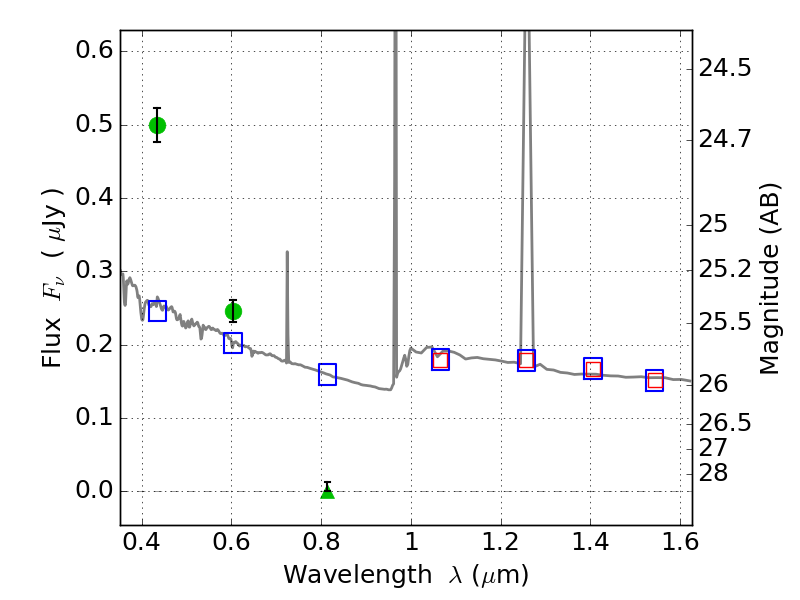
ABELL520 ACS+IR detection object #2565

Color images and BPZ results
Catalog: 2565.cat
Black segments are analyzed here.   Roll mouse over color images to view segments.
Best viewed in a wide browser window (1200 pixels or more).   Download SED & P(z) plots to view larger versions.
In P(z) plots: Yellow lines mark the cluster redshift z = 0.203,  

Object #2565   x,y = (7623, 1619)   RA, Dec = (04:53:54.960, 02:53:29.40) = (73.47900, 2.89150)   BPZ = 1.593 [1.519--1.953]   type = 11.00 (SB11_A_0_l)   chisq2 = 143.46   ODDS = 0.81   z_cluster = 0.203