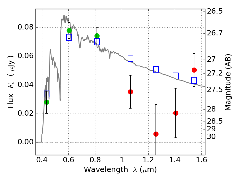
ABELL520 ACS+IR detection object #2279

Color images and BPZ results
Catalog: 2279.cat
Black segments are analyzed here.   Roll mouse over color images to view segments.
Best viewed in a wide browser window (1200 pixels or more).   Download SED & P(z) plots to view larger versions.
In P(z) plots: Yellow lines mark the cluster redshift z = 0.203,  

Object #2279   x,y = (4059, 1498)   RA, Dec = (04:54:09.240, 02:53:21.84) = (73.53850, 2.88940)   BPZ = 3.421 [3.092--3.633]   type = 11.00 (SB11_A_0_l)   chisq2 = 2.89   ODDS = 0.88   z_cluster = 0.203