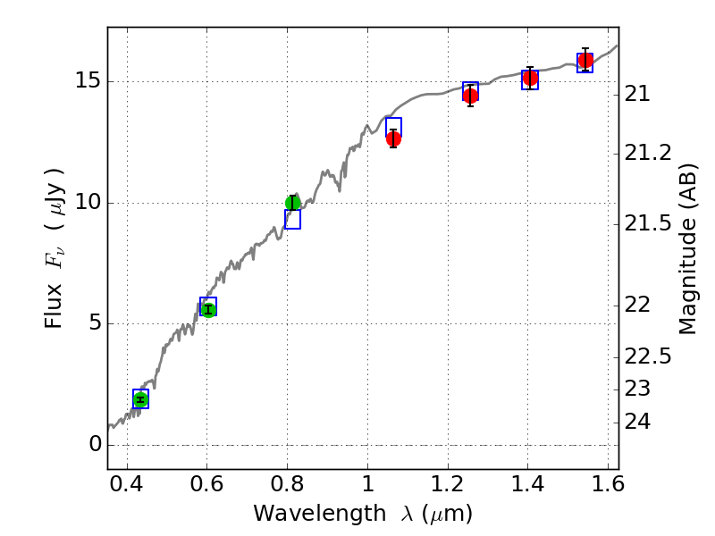
ABELL520 ACS+IR detection object #2117

Color images and BPZ results
Catalog: 2117.cat
Black segments are analyzed here.   Roll mouse over color images to view segments.
Best viewed in a wide browser window (1200 pixels or more).   Download SED & P(z) plots to view larger versions.
In P(z) plots: Yellow lines mark the cluster redshift z = 0.203,  

Object #2117   x,y = (4827, 1356)   RA, Dec = (04:54:06.168, 02:53:13.56) = (73.52570, 2.88710)   BPZ = 0.086 [0.042--0.118]   type = 3.80 (Ell4_A_0 - Ell5_A_0)   chisq2 = 0.16   ODDS = 0.97   z_cluster = 0.203