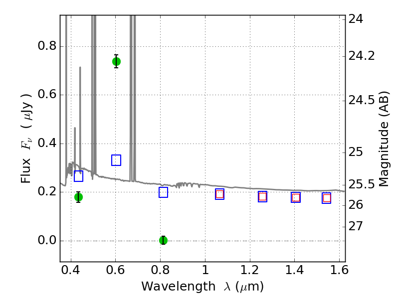
ABELL520 ACS+IR detection object #1502

Color images and BPZ results
Catalog: 1502.cat
Black segments are analyzed here.   Roll mouse over color images to view segments.
Best viewed in a wide browser window (1200 pixels or more).   Download SED & P(z) plots to view larger versions.
In P(z) plots: Yellow lines mark the cluster redshift z = 0.203,  

Object #1502   x,y = (4161, 1181)   RA, Dec = (04:54:08.832, 02:53:03.12) = (73.53680, 2.88420)   BPZ = 0.016 [0.010--0.032]   type = 11.00 (SB11_A_0_l)   chisq2 = 198.00   ODDS = 1.00   z_cluster = 0.203