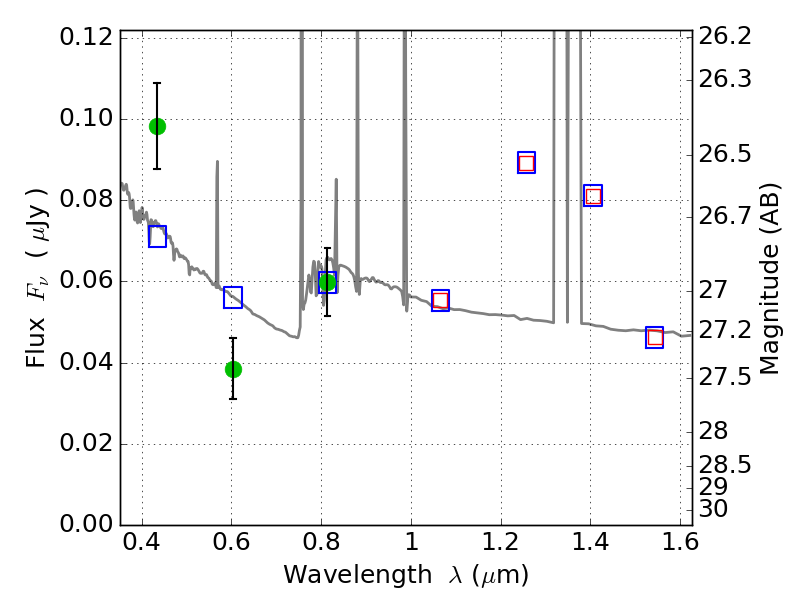
ABELL520 ACS+IR detection object #1457

Color images and BPZ results
Catalog: 1457.cat
Black segments are analyzed here.   Roll mouse over color images to view segments.
Best viewed in a wide browser window (1200 pixels or more).   Download SED & P(z) plots to view larger versions.
In P(z) plots: Yellow lines mark the cluster redshift z = 0.203,  

Object #1457   x,y = (6465, 1153)   RA, Dec = (04:53:59.616, 02:53:01.32) = (73.49840, 2.88370)   BPZ = 1.028 [0.789--2.304]   type = 11.00 (SB11_A_0_l)   chisq2 = 8.32   ODDS = 0.27   z_cluster = 0.203