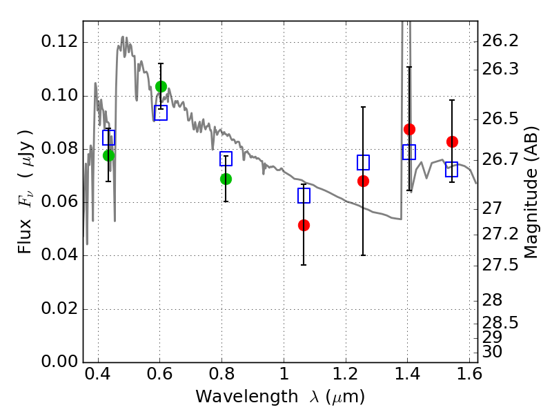
ABELL520 ACS+IR detection object #15468

Color images and BPZ results
Catalog: 15468.cat
Black segments are analyzed here.   Roll mouse over color images to view segments.
Best viewed in a wide browser window (1200 pixels or more).   Download SED & P(z) plots to view larger versions.
In P(z) plots: Yellow lines mark the cluster redshift z = 0.203,  

Object #15468   x,y = (1280, 5180)   RA, Dec = (04:54:20.376, 02:57:02.88) = (73.58490, 2.95080)   BPZ = 2.747 [1.846--3.057]   type = 11.00 (SB11_A_0_l)   chisq2 = 0.69   ODDS = 0.56   z_cluster = 0.203