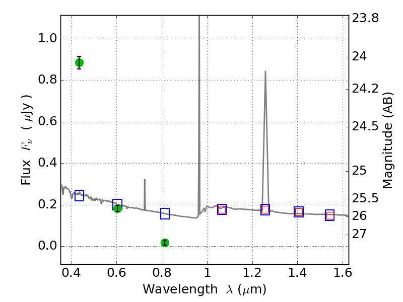
ABELL520 ACS+IR detection object #13865

Color images and BPZ results
Catalog: 13865.cat
Black segments are analyzed here.   Roll mouse over color images to view segments.
Best viewed in a wide browser window (1200 pixels or more).   Download SED & P(z) plots to view larger versions.
In P(z) plots: Yellow lines mark the cluster redshift z = 0.203,  

Object #13865   x,y = (511, 5786)   RA, Dec = (04:54:23.448, 02:57:39.24) = (73.59770, 2.96090)   BPZ = 1.593 [1.503--1.963]   type = 11.00 (SB11_A_0_l)   chisq2 = 377.12   ODDS = 0.83   z_cluster = 0.203