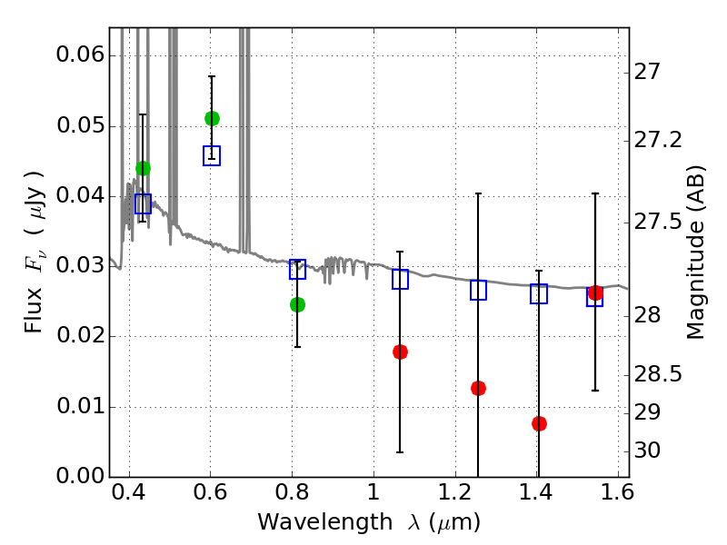
ABELL520 ACS+IR detection object #833

Color images and BPZ results
Catalog: 833.cat
Black segments are analyzed here.   Roll mouse over color images to view segments.
Best viewed in a wide browser window (1200 pixels or more).   Download SED & P(z) plots to view larger versions.
In P(z) plots: Yellow lines mark the cluster redshift z = 0.203,  

Object #833   x,y = (5426, 727)   RA, Dec = (04:54:03.768, 02:52:35.76) = (73.51570, 2.87660)   BPZ = 0.033 [0.029--2.883]   type = 11.00 (SB11_A_0_l)   chisq2 = 0.51   ODDS = 0.07   z_cluster = 0.203