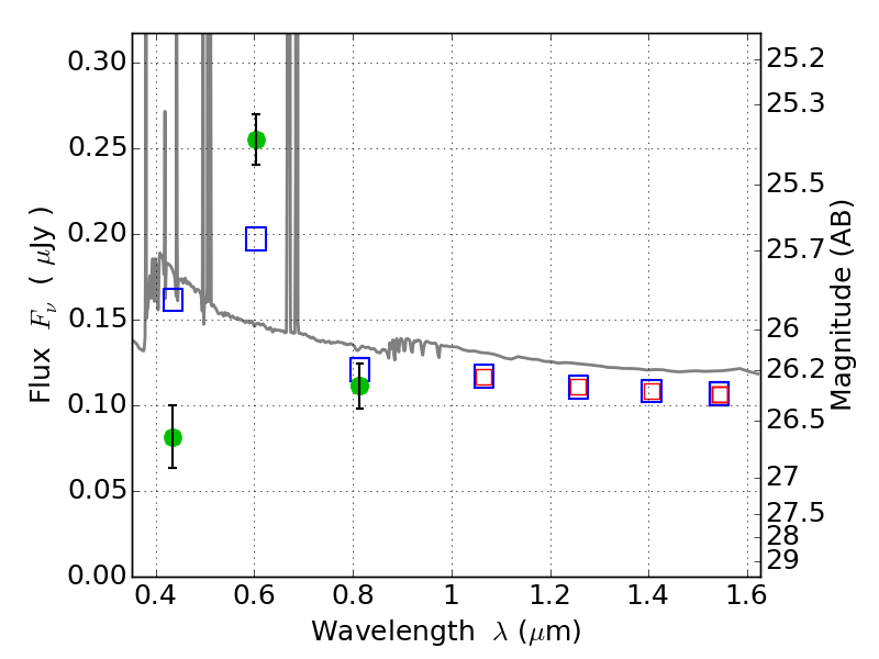
ABELL520 ACS+IR detection object #8081

Color images and BPZ results
Catalog: 8081.cat
Black segments are analyzed here.   Roll mouse over color images to view segments.
Best viewed in a wide browser window (1200 pixels or more).   Download SED & P(z) plots to view larger versions.
In P(z) plots: Yellow lines mark the cluster redshift z = 0.203,  

Object #8081   x,y = (585, 4168)   RA, Dec = (04:54:23.160, 02:56:02.04) = (73.59650, 2.93390)   BPZ = 0.021 [0.010--0.059]   type = 11.00 (SB11_A_0_l)   chisq2 = 21.55   ODDS = 0.98   z_cluster = 0.203