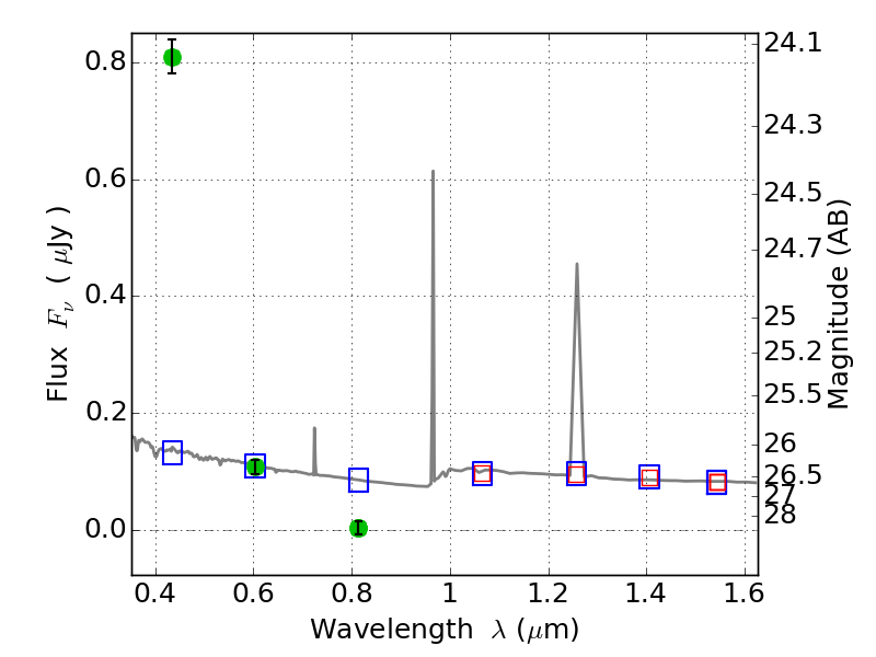
ABELL520 ACS+IR detection object #6607

Color images and BPZ results
Catalog: 6607.cat
Black segments are analyzed here.   Roll mouse over color images to view segments.
Best viewed in a wide browser window (1200 pixels or more).   Download SED & P(z) plots to view larger versions.
In P(z) plots: Yellow lines mark the cluster redshift z = 0.203,  

Object #6607   x,y = (7425, 3191)   RA, Dec = (04:53:55.752, 02:55:03.72) = (73.48230, 2.91770)   BPZ = 1.593 [1.472--2.057]   type = 11.00 (SB11_A_0_l)   chisq2 = 550.14   ODDS = 0.67   z_cluster = 0.203