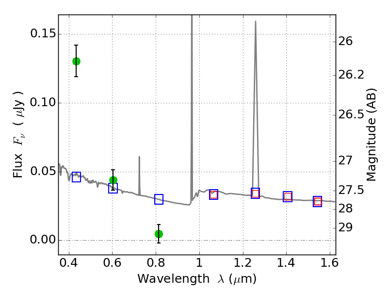
ABELL520 ACS+IR detection object #16992

Color images and BPZ results
Catalog: 16992.cat
Black segments are analyzed here.   Roll mouse over color images to view segments.
Best viewed in a wide browser window (1200 pixels or more).   Download SED & P(z) plots to view larger versions.
In P(z) plots: Yellow lines mark the cluster redshift z = 0.203,  

Object #16992   x,y = (7308, 4701)   RA, Dec = (04:53:56.232, 02:56:34.08) = (73.48430, 2.94280)   BPZ = 1.594 [1.381--2.229]   type = 11.00 (SB11_A_0_l)   chisq2 = 75.27   ODDS = 0.35   z_cluster = 0.203