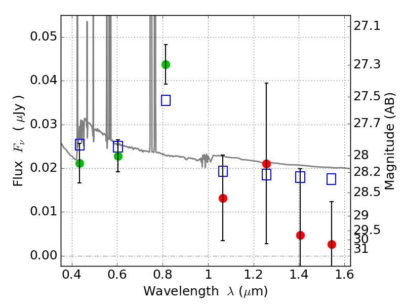
ABELL3192 ACS+IR detection object #3912

Color images and BPZ results
Catalog: 3912.cat
Black segments are analyzed here.   Roll mouse over color images to view segments.
Best viewed in a wide browser window (1200 pixels or more).   Download SED & P(z) plots to view larger versions.
In P(z) plots: Yellow lines mark the cluster redshift z = 0.425,  

Object #3912   x,y = (2606, 1748)   RA, Dec = (03:58:51.648, -29:56:39.84) = (59.71520, -29.94440)   BPZ = 0.137 [0.092--0.449]   type = 11.00 (SB11_A_0_l)   stellarity = 0.28   chisq2 = 1.71   ODDS = 0.56   z_cluster = 0.425