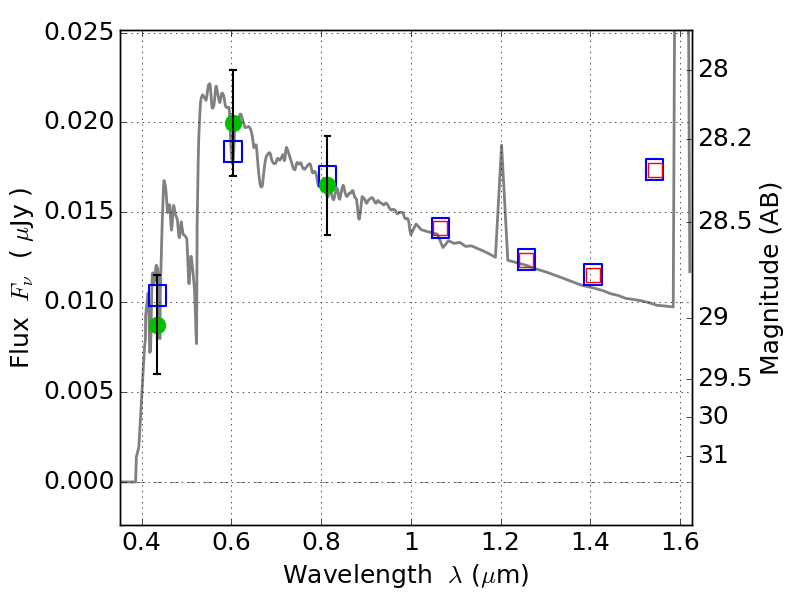
ABELL3192 ACS+IR detection object #341

Color images and BPZ results
Catalog: 341.cat
Black segments are analyzed here.   Roll mouse over color images to view segments.
Best viewed in a wide browser window (1200 pixels or more).   Download SED & P(z) plots to view larger versions.
In P(z) plots: Yellow lines mark the cluster redshift z = 0.425,  

Object #341   x,y = (1228, 4292)   RA, Dec = (03:58:58.008, -29:54:07.20) = (59.74170, -29.90200)   BPZ = 3.302 [0.199--3.557]   type = 11.00 (SB11_A_0_l)   stellarity = 0.79   chisq2 = 0.56   ODDS = 0.21   z_cluster = 0.425