ABELL3192 ACS+IR detection object #3209

Color images and BPZ results
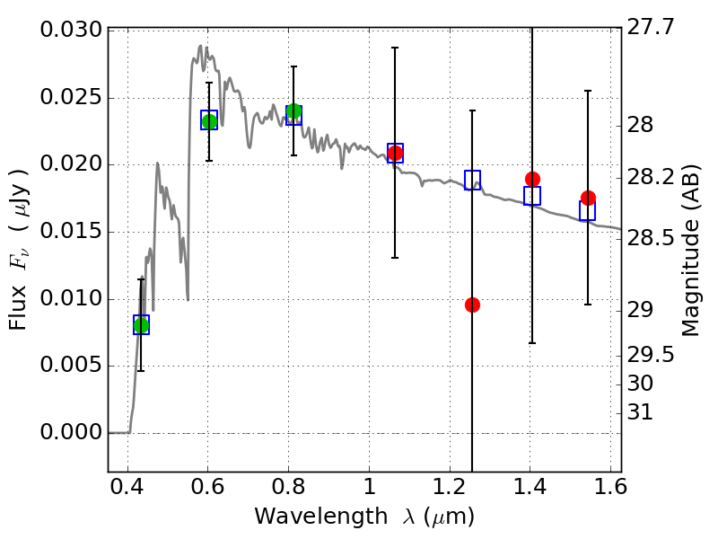
Catalog: 3209.cat
Black segments are analyzed here.   Roll mouse over color images to view segments.
Best viewed in a wide browser window (1200 pixels or more).   Download SED & P(z) plots to view larger versions.
In P(z) plots: Yellow lines mark the cluster redshift z = 0.425,  

Object #3209   x,y = (2722, 2636)   RA, Dec = (03:58:51.120, -29:55:46.56) = (59.71300, -29.92960)   BPZ = 3.539 [0.242--3.874]   type = 10.50 (SB11_A_0_l - SB3_B10)   stellarity = 0.79   chisq2 = 0.11   ODDS = 0.59   z_cluster = 0.425