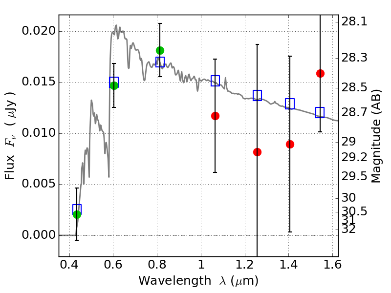
ABELL3192 ACS+IR detection object #3002

Color images and BPZ results
Catalog: 3002.cat
Black segments are analyzed here.   Roll mouse over color images to view segments.
Best viewed in a wide browser window (1200 pixels or more).   Download SED & P(z) plots to view larger versions.
In P(z) plots: Yellow lines mark the cluster redshift z = 0.425,  

Object #3002   x,y = (2255, 2344)   RA, Dec = (03:58:53.280, -29:56:04.20) = (59.72200, -29.93450)   BPZ = 3.786 [0.429--4.193]   type = 10.50 (SB11_A_0_l - SB3_B10)   stellarity = 0.56   chisq2 = 0.37   ODDS = 0.59   z_cluster = 0.425