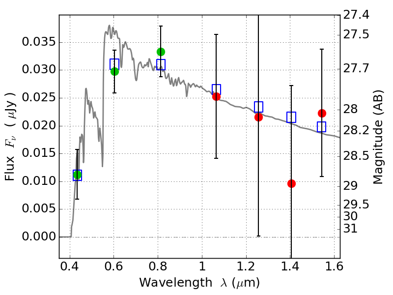
ABELL3192 ACS+IR detection object #2411

Color images and BPZ results
Catalog: 2411.cat
Black segments are analyzed here.   Roll mouse over color images to view segments.
Best viewed in a wide browser window (1200 pixels or more).   Download SED & P(z) plots to view larger versions.
In P(z) plots: Yellow lines mark the cluster redshift z = 0.425,  

Object #2411   x,y = (3231, 2791)   RA, Dec = (03:58:48.768, -29:55:37.20) = (59.70320, -29.92700)   BPZ = 3.533 [0.204--3.873]   type = 10.80 (SB11_A_0_l - SB3_B10)   stellarity = 0.09   chisq2 = 0.21   ODDS = 0.54   z_cluster = 0.425