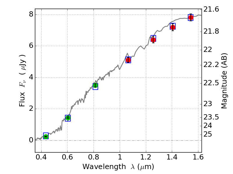
ABELL3192 ACS+IR detection object #1666

Color images and BPZ results
Catalog: 1666.cat
Black segments are analyzed here.   Roll mouse over color images to view segments.
Best viewed in a wide browser window (1200 pixels or more).   Download SED & P(z) plots to view larger versions.
In P(z) plots: Yellow lines mark the cluster redshift z = 0.425,  

Object #1666   x,y = (1802, 3284)   RA, Dec = (03:58:55.368, -29:55:07.68) = (59.73070, -29.91880)   BPZ = 0.405 [0.309--0.440]   type = 3.60 (Ell4_A_0 - Ell5_A_0)   stellarity = 0.03   chisq2 = 0.01   ODDS = 0.85   z_cluster = 0.425