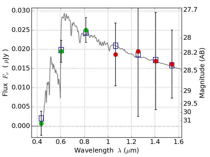
ABELL3192 ACS+IR detection object #1635

Color images and BPZ results
Catalog: 1635.cat
Black segments are analyzed here.   Roll mouse over color images to view segments.
Best viewed in a wide browser window (1200 pixels or more).   Download SED & P(z) plots to view larger versions.
In P(z) plots: Yellow lines mark the cluster redshift z = 0.425,  

Object #1635   x,y = (2946, 3314)   RA, Dec = (03:58:50.088, -29:55:05.88) = (59.70870, -29.91830)   BPZ = 3.917 [3.470--4.269]   type = 10.80 (SB11_A_0_l - SB3_B10)   stellarity = 0.70   chisq2 = 0.06   ODDS = 0.67   z_cluster = 0.425