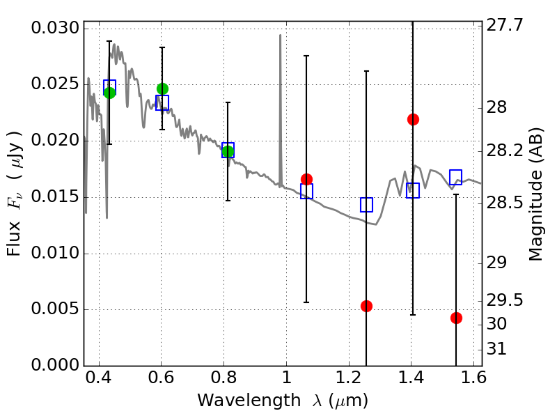
ABELL3192 ACS+IR detection object #1465

Color images and BPZ results
Catalog: 1465.cat
Black segments are analyzed here.   Roll mouse over color images to view segments.
Best viewed in a wide browser window (1200 pixels or more).   Download SED & P(z) plots to view larger versions.
In P(z) plots: Yellow lines mark the cluster redshift z = 0.425,  

Object #1465   x,y = (2770, 3414)   RA, Dec = (03:58:50.904, -29:55:00.12) = (59.71210, -29.91670)   BPZ = 2.509 [0.162--3.058]   type = 11.00 (SB11_A_0_l)   stellarity = 0.00   chisq2 = 0.43   ODDS = 0.20   z_cluster = 0.425