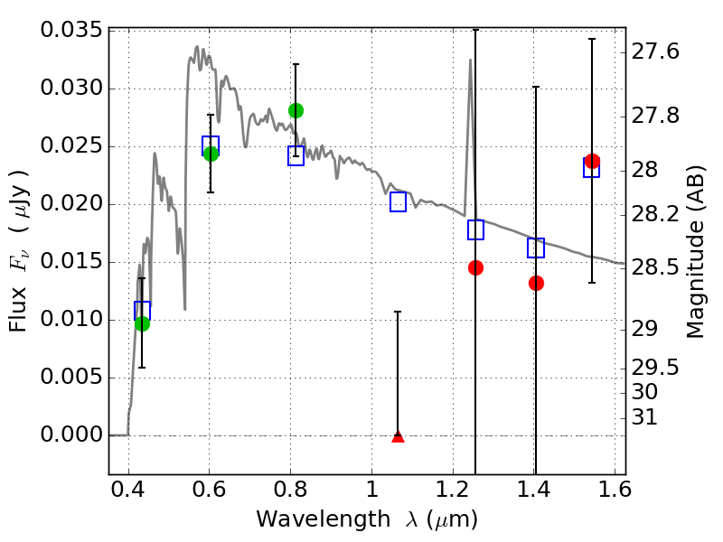
ABELL3192 ACS+IR detection object #1142

Color images and BPZ results
Catalog: 1142.cat
Black segments are analyzed here.   Roll mouse over color images to view segments.
Best viewed in a wide browser window (1200 pixels or more).   Download SED & P(z) plots to view larger versions.
In P(z) plots: Yellow lines mark the cluster redshift z = 0.425,  

Object #1142   x,y = (1748, 3655)   RA, Dec = (03:58:55.608, -29:54:45.72) = (59.73170, -29.91270)   BPZ = 3.453 [0.179--3.830]   type = 11.00 (SB11_A_0_l)   stellarity = 0.33   chisq2 = 1.12   ODDS = 0.48   z_cluster = 0.425