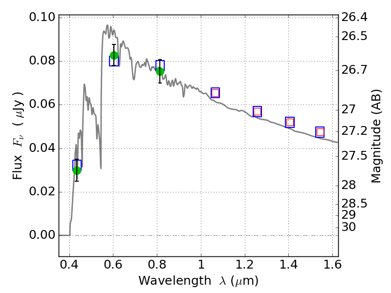
ABELL3192 ACS+IR detection object #1045

Color images and BPZ results
Catalog: 1045.cat
Black segments are analyzed here.   Roll mouse over color images to view segments.
Best viewed in a wide browser window (1200 pixels or more).   Download SED & P(z) plots to view larger versions.
In P(z) plots: Yellow lines mark the cluster redshift z = 0.425,  

Object #1045   x,y = (3218, 3703)   RA, Dec = (03:58:48.840, -29:54:42.48) = (59.70350, -29.91180)   BPZ = 3.485 [2.862--3.618]   type = 11.00 (SB11_A_0_l)   stellarity = 0.97   chisq2 = 0.37   ODDS = 0.91   z_cluster = 0.425