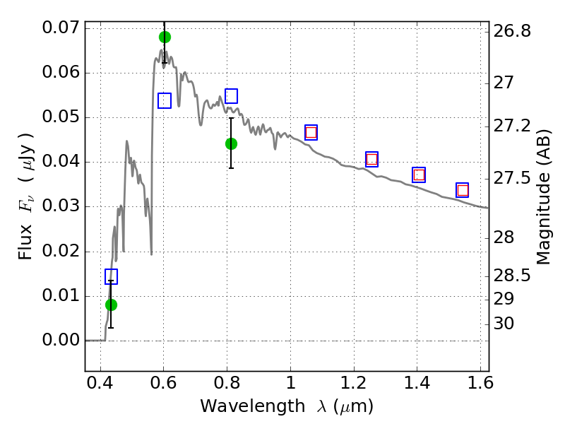
ABELL3192 ACS+IR detection object #7182

Color images and BPZ results
Catalog: 7182.cat
Black segments are analyzed here.   Roll mouse over color images to view segments.
Best viewed in a wide browser window (1200 pixels or more).   Download SED & P(z) plots to view larger versions.
In P(z) plots: Yellow lines mark the cluster redshift z = 0.425,  

Object #7182   x,y = (4040, 627)   RA, Dec = (03:58:45.024, -29:57:47.16) = (59.68760, -29.96310)   BPZ = 3.633 [3.412--3.827]   type = 11.00 (SB11_A_0_l)   chisq2 = 7.65   ODDS = 0.93   z_cluster = 0.425