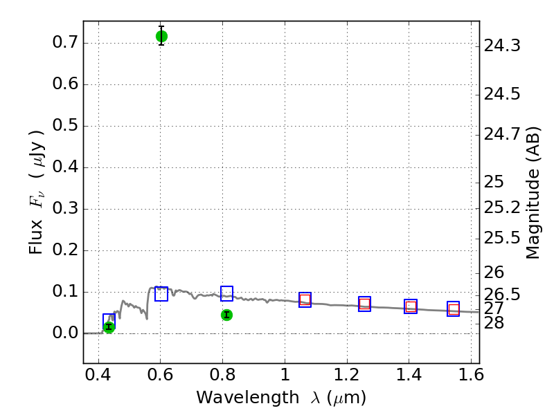
ABELL3192 ACS+IR detection object #6452

Color images and BPZ results
Catalog: 6452.cat
Black segments are analyzed here.   Roll mouse over color images to view segments.
Best viewed in a wide browser window (1200 pixels or more).   Download SED & P(z) plots to view larger versions.
In P(z) plots: Yellow lines mark the cluster redshift z = 0.425,  

Object #6452   x,y = (923, 1084)   RA, Dec = (03:58:59.424, -29:57:19.80) = (59.74760, -29.95550)   BPZ = 3.593 [3.463--3.674]   type = 11.00 (SB11_A_0_l)   chisq2 = 703.90   ODDS = 1.00   z_cluster = 0.425