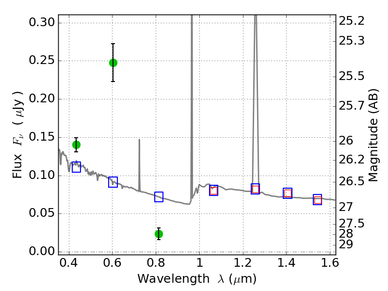
ABELL3192 ACS+IR detection object #642

Color images and BPZ results
Catalog: 642.cat
Black segments are analyzed here.   Roll mouse over color images to view segments.
Best viewed in a wide browser window (1200 pixels or more).   Download SED & P(z) plots to view larger versions.
In P(z) plots: Yellow lines mark the cluster redshift z = 0.425,  

Object #642   x,y = (925, 4246)   RA, Dec = (03:58:59.400, -29:54:10.08) = (59.74750, -29.90280)   BPZ = 1.594 [1.428--2.147]   type = 11.00 (SB11_A_0_l)   chisq2 = 62.90   ODDS = 0.44   z_cluster = 0.425