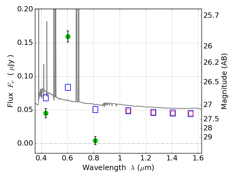
ABELL3192 ACS+IR detection object #6163

Color images and BPZ results
Catalog: 6163.cat
Black segments are analyzed here.   Roll mouse over color images to view segments.
Best viewed in a wide browser window (1200 pixels or more).   Download SED & P(z) plots to view larger versions.
In P(z) plots: Yellow lines mark the cluster redshift z = 0.425,  

Object #6163   x,y = (4096, 1246)   RA, Dec = (03:58:44.784, -29:57:10.08) = (59.68660, -29.95280)   BPZ = 0.018 [0.010--0.041]   type = 11.00 (SB11_A_0_l)   chisq2 = 93.19   ODDS = 1.00   z_cluster = 0.425