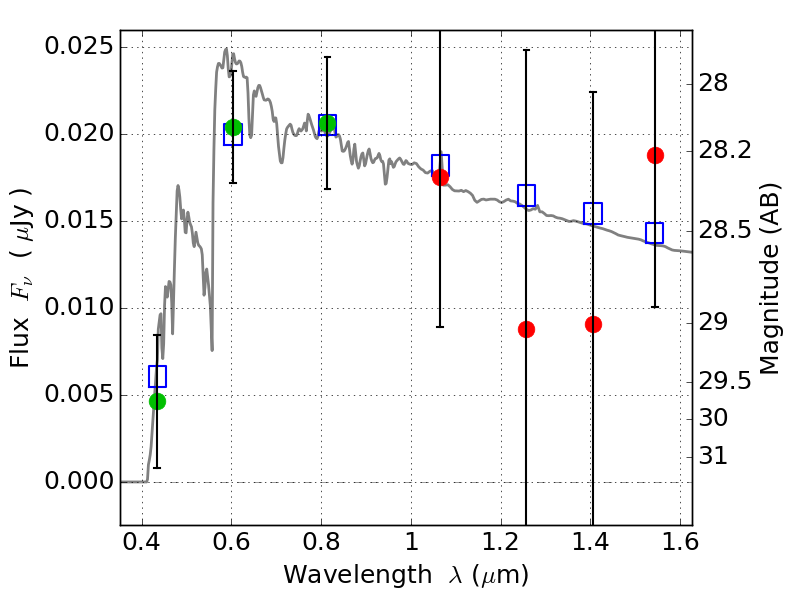
ABELL3192 ACS+IR detection object #5077

Color images and BPZ results
Catalog: 5077.cat
Black segments are analyzed here.   Roll mouse over color images to view segments.
Best viewed in a wide browser window (1200 pixels or more).   Download SED & P(z) plots to view larger versions.
In P(z) plots: Yellow lines mark the cluster redshift z = 0.425,  

Object #5077   x,y = (2620, 1895)   RA, Dec = (03:58:51.600, -29:56:31.20) = (59.71500, -29.94200)   BPZ = 3.586 [0.237--4.047]   type = 10.50 (SB11_A_0_l - SB3_B10)   chisq2 = 0.21   ODDS = 0.48   z_cluster = 0.425